問1
直流電源に接続された永久磁石界磁の直流電動機に一定トルクの負荷がつながっている。電機子抵抗が1.00Ωである。回転速度が1000min⁻¹のとき,電源電圧は120V,電流は20Aであった。
この電源電圧を100Vに変化させたときの回転速度の値[min⁻¹]として,最も近いものを次の(1)~(5)のうちから一つ選べ。
ただし,電機子反作用及びブラシ,整流子における電圧降下は無視できるものとする。
- 200
- 400
- 600
- 800
- 1000
- 解答
問2
直流機の電機子反作用に関する記述として,誤っているものを次の(1)~(5)のうちから一つ選べ。
- 直流発電機や直流電動機では,電機子巻線に電流を流すと,電機子電流によって電機子周辺に磁束が生じ,電機子電圧を誘導する磁束すなわち励磁磁束が,電機子電流の影響で変化する。これを電機子反作用という。
- 界磁電流による磁束のベクトルに対し,電機子電流による電機子反作用磁束のベクトルは,同じ向きとなるため,電動機として運転した場合に増磁作用,発電機として運転した場合に減磁作用となる。
- 直流機の界磁磁極片に補償巻線を設け,そこに電機子電流を流すことにより,電機子反作用を緩和できる。
- 直流機の界磁磁極のN極とS極の間に補極を設け,そこに設けたコイルに電機子電流を流すことにより,電機子反作用を緩和できる。
- ブラシの位置を適切に移動させることで,電機子反作用を緩和できる。
- 解答
問3
4極の三相誘導電動機が 60Hzの電源に接続され,出力5.75kW,回転速度1656min⁻¹で運転されている。このとき,一次銅損,二次銅損及び鉄損の三つの損失の値が等しかった。このときの誘導電動機の効率の値[%]として,最も近いものを次の(1)~(5)のうちから一つ選べ。
ただし,その他の損失は無視できるものとする。
- 76.0
- 77.8
- 79.3
- 80.6
- 88.5
- 解答
問4
次の文章は,誘導機の速度制御に関する記述である。
誘導機の回転速度𝑛[min⁻¹]は,滑り𝑠,電源周波数𝑓[Hz],極数𝑝を用いて𝑛=120⋅(ア)と表される。したがって,誘導機の速度は電源周波数によって制御することができ,特にかご形誘導電動機において(イ)電源装置を用いた制御が広く利用されている。
かご形誘導機ではこの他に,運転中に固定子巻線の接続を変更して(ウ)を切り換える制御法や,(エ)の大きさを変更する制御法がある。前者は,効率はよいが,速度の変化が段階的となる。後者は,速度の安定な制御範囲を広くするために(オ)の値を大きくとり,銅損が大きくなる。
巻線形誘導機では,(オ)の値を調整することにより,トルクの比例推移を利用して速度を変える制御法がある。
上記の記述中の空白箇所(ア),(イ),(ウ),(エ)及び(オ)に当てはまる組合せとして,正しいものを次の(1)~(5)のうちから一つ選べ。
- 解答
問5
次の文章は,星形結線の円筒形三相同期電動機の入力,出力,トルクに関する記述である。
この三相同期電動機の1相分の誘導起電力E[V],電圧V[V],電流I[A],VとIの位相差をθ[rad]としたときの1相分の入力Pᵢ[W]は次式で表される。
また,EとVの位相差をδ[rad]とすると,1相分の出力Po[W]は次式で表される。EとVの位相差δは(ア)といわれる。
ここで,x[Ω]は同期リアクタンスであり,電機子巻線抵抗は無視できるものとする。
この三相同期電動機の全出力をP[W],同期速度をns[min⁻¹]とすると,トルクT[N⋅m]とPの関係は次式で表される。
これから,Tは次式のようになる。
以上のことから,0≦δ≦
の範囲においてδが(ウ)なるに従ってTは(エ)なり,理論上
[rad]のとき(オ)となる。
上記の記述中の空白箇所(ア),(イ),(ウ),(エ)及び(オ)に当てはまる組合せとして,正しいものを次の(1)~(5)のうちから一つ選べ。
| ア | イ | ウ | エ | オ | |
|---|---|---|---|---|---|
| 1 | 負荷角 | cosδ | 大きく | 大きく | 最大値 |
| 2 | 力率角 | cosδ | 大きく | 小さく | 最小値 |
| 3 | 力率角 | sinδ | 小さく | 小さく | 最小値 |
| 4 | 負荷角 | sinδ | 大きく | 大きく | 最大値 |
| 5 | 負荷角 | cosδ | 小さく | 小さく | 最大値 |
- 解答
問6
次の文章は,一般的なブラシレス DC モータに関する記述である。
ブラシレス DC モータは,(ア)が回転子側に,(イ)が固定子側に取り付けられた構造となっており,(イ)が回転しないため,(ウ)が必要な一般の直流電動機と異なる。
しかし,何らかの方法で回転子の(エ)を検出して,(イ)への電流を切り換える必要がある。この電流の切り換えを,(オ)で構成された駆動回路を用いて実現している。ブラシレスDCモータは,(オ)の発達とともに発展してきたモータであり,上記の駆動回路が重要な役割を果たすモータである。
上記の記述中の空白箇所(ア),(イ),(ウ),(エ)及び(オ)に当てはまる組合せとして,正しいものを次の(1)~(5)のうちから一つ選べ。
| ア | イ | ウ | エ | オ | |
|---|---|---|---|---|---|
| 1 | 電機子巻線 | 永久磁石 | ブラシと整流子 | 回転速度 | 半導体スイッチ |
| 2 | 電機子巻線 | 永久磁石 | ブラシとスリップリング | 回転速度 | 機械スイッチ |
| 3 | 永久磁石 | 電機子巻線 | ブラシと整流子 | 回転速度 | 半導体スイッチ |
| 4 | 永久磁石 | 電機子巻線 | ブラシとスリップリング | 回転位置 | 機械スイッチ |
| 5 | 永久磁石 | 電機子巻線 | ブラシと整流子 | 回転位置 | 半導体スイッチ |
- 解答
問7
次の文章は,電気機器の損失に関する記述である。
- コイルの電流とコイルの抵抗によるジュール熱が(ア)であり,この損失を低減するため,コイルを構成する電線の断面積を大きくする。交流電流が並列コイルに分かれて流れると,並列コイル間の電流不平衡からこの損失が増加する。この損失を低減するため,並列回路を構成する各コイルの鎖交磁束と抵抗値,すなわち,各コイルのインピーダンスを等しくする。
- 鉄心に交流磁束が通ると損失が発生する。その成分は(イ)と(ウ)の二つに分類される。前者は,交流磁束によって誘導された電流が鉄心を流れてジュール熱として発生する。そこで,電気抵抗が高い強磁性材料や,表面を絶縁膜で覆った薄い鉄板を積層した積層鉄心を磁気回路に用いて,電流の経路を断つことで損失を低減する。後者は,鉄心の磁束が磁界の履歴に依存するために発生する。この(ウ)を低減するために電磁鋼板が磁気回路に広く用いられている。
- 上記の電磁気要因の損失のほか,電動機や発電機では,回転子の運動による軸受け摩擦損や冷却ファンの空気抵抗による損失などの(エ)がある。
上記の記述中の空白箇所(ア),(イ),(ウ)及び(エ)に当てはまる組合せとして,正しいものを次の(1)~(5)のうちから一つ選べ。
| ア | イ | ウ | エ | |
|---|---|---|---|---|
| 1 | 銅損 | 過電流損 | ヒステリシス損 | 機械損 |
| 2 | 鉄損 | 抵抗損 | ヒステリシス損 | 銅損 |
| 3 | 銅損 | 過電流損 | インダクタンス損 | 機械損 |
| 4 | 鉄損 | 機械損 | ヒステリシス損 | 銅損 |
| 5 | 銅損 | 抵抗損 | インダクタンス損 | 機械損 |
- 解答
問8
2台の単相変圧器があり,それぞれ,巻数比(一次巻数/二次巻数)が 30.1,30.0,二次側に換算した巻線抵抗及び漏れリアクタンスからなるインピーダンスが (0.013+j0.022)Ω,(0.010+j0.020)Ωである。
この2台の変圧器を並列接続し二次側を無負荷として,一次側に6600Vを加えた。この2台の変圧器の二次巻線間を循環して流れる電流の値[A]として,最も近いものを次の(1)~(5)のうちから一つ選べ。ただし,励磁回路のアドミタンスの影響は無視するものとする。
- 4.1
- 11.2
- 15.3
- 30.6
- 61.3
- 解答
問9
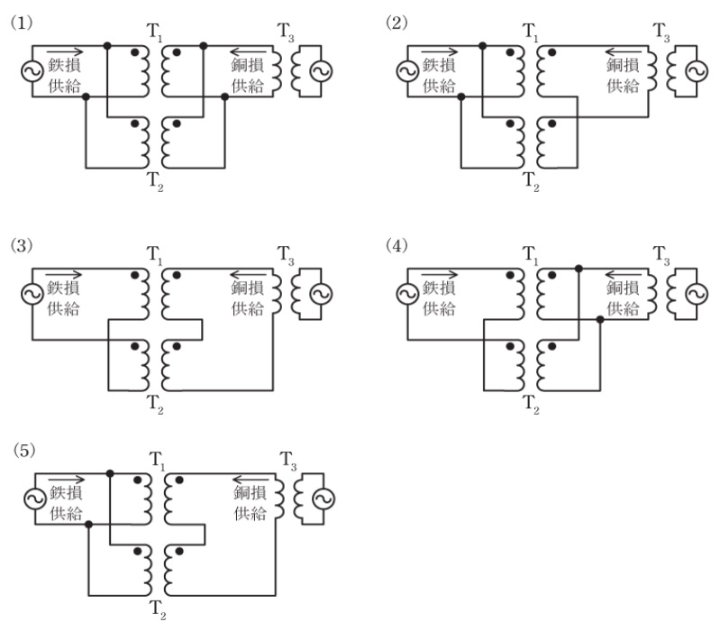
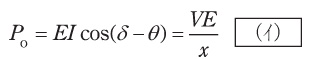
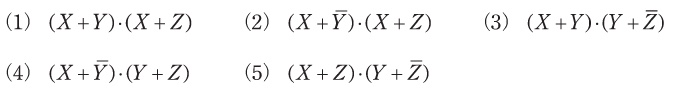
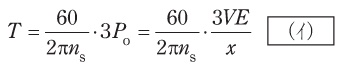
変圧器の試験方法の一つに温度上昇試験がある。小形変圧器の場合には実負荷法を用いるが,電力用等の大形変圧器では返還負荷法を用いる。返還負荷法では,外部電源から鉄損と銅損に相当する電力のみを供給すればよいので試験電源が比較的小規模なものですむ。単相変圧器におけるこの試験の結線方法および図中に示す鉄損,銅損の供給方法として,次の(1)~(5)のうちから正しいものを一つ選べ。ただし,T1 ,T2は試験対象となる同じ仕様の変圧器,T3は補助変圧器である。
- 解答
問10
次の文章は,単相サイリスタ整流回路に関する記述である。
図1には純抵抗負荷に接続された単相サイリスタ整流回路を示し,T₁~T₄のサイリスタはオン電圧降下を無視できるものとする。また,図1中の矢印の方向を正とした交流電源の電圧 𝑣=𝑉sin𝜔𝑡[V]及び直流側電圧𝑣dの波形をそれぞれ破線及び実線で図2に示す。
図2に示した交流電圧の位相において,𝜋<𝜔𝑡<2𝜋 の位相で同時にオン信号を与えるサイリスタは(ア)である。
交流電圧1サイクルの中で,例えばサイリスタT₄からT₂へ導通するサイリスタが換わる動作を考える。T₄がオンしている状態から位相𝜋で電流が零になると,T₄はオフ状態となる。その後,制御遅れ角𝛼を経てT₂にオン信号を与えると,電流がT₂に流れる。そのとき既に電流が零になった T₄には,交流電圧𝑣が(イ)として印加される。すなわち,(ウ)であるサイリスタは,極性が変わる交流電圧を利用してターンオフすることができる。
次に交流電圧と直流側電圧の関係について考える。サイリスタT₂とT₃がオンしている期間は交流電源の(エ)と直流回路の N 母線が同じ電位になるので,そのときの直流側電圧𝑣dは(オ)と等しくなる。
上記の記述中の空白箇所(ア),(イ),(ウ),(エ)及び(オ)に当てはまる組合せとして,正しいものを次の(1)~(5)のうちから一つ選べ。
| ア | イ | ウ | エ | ||
|---|---|---|---|---|---|
| 1 | T₂とT₃ | 順電圧 | オン制御デバイス | A端子 | 交流電圧の逆方向電圧-𝓋 |
| 2 | T₁とT₄ | 逆電圧 | オン制御デバイス | B端子 | 交流電圧𝓋 |
| 3 | T₂とT₃ | 逆電圧 | オン制御デバイス | A端子 | 交流電圧の逆方向電圧-𝓋 |
| 4 | T₁とT₄ | 順電圧 | オンオフ制御デバイス | B端子 | 交流電圧の逆方向電圧-𝓋 |
| 5 | T₂とT₃ | 逆電圧 | オンオフ制御デバイス | B端子 | 交流電圧𝓋 |
- 解答
問11
かごの質量が250kg,定格積載質量が1500kgのロープ式エレベータにおいて,釣合いおもりの質量は,かごの質量に定格積載質量の50%を加えた値とした。このエレベータの電動機出力を22kWとした場合,一定速度でかごが上昇しているときの速度の値[m/min]はいくらになるか,最も近いものを次の(1)~(5)のうちから一つ選べ。ただし,エレベータの機械効率は70%,積載量は定格積載質量とし,ロープの質量は無視するものとする。
- 54
- 94
- 126
- 180
- 377
- 解答
問12
次の文章は,太陽光発電システムに関する記述である。
太陽光発電システムは,太陽電池アレイ,パワーコンディショナ,これらを接続する接続箱,交流側に設置する交流開閉器などで構成される。
太陽電池アレイは,複数の太陽電池(ア)を通常は直列に接続して構成される太陽電池(イ)をさらに直並列に接続したものである。パワーコンディショナは,直流を交流に変換する(ウ)と,連系保護機能を実現する系統連系用保護装置などで構成されている。
太陽電池アレイの出力は,日射強度や太陽電池の温度によって変動する。これらの変動に対し,太陽電池アレイから常に(エ)の電力を取り出す制御は,MPPT(Maximum Power Point Tracking)制御と呼ばれている。
上記の記述中の空白箇所(ア),(イ),(ウ)及び(エ)に当てはまる組合せとして,正しいものを次の(1)~(5)のうちから一つ選べ。
| ア | イ | ウ | エ | |
|---|---|---|---|---|
| 1 | モジュール | セル | 整流器 | 最小 |
| 2 | ユニット | セル | インバータ | 最大 |
| 3 | ユニット | モジュール | インバータ | 最小 |
| 4 | セル | ユニット | 整流器 | 最小 |
| 5 | セル | モジュール | インバータ | 最大 |
- 解答
問13
図1に示すR-L回路において,端子a-a′間に5Vの階段状のステップ電圧v₁(t)[V]を加えたとき,抵抗R₂[Ω]に発生する電圧をv₂(t)[V]とすると,v₂(t)は図2のようになった。この回路のR₁[Ω],R₂[Ω]及びL[H]の値と,入力をv₁(t),出力をv₂(t)としたときの周波数伝達関数G(jω)の式として,正しいものを次の(1)~(5)のうちから一つ選べ。
- 解答
問14
2進数AとBがある。それらの和が A+B=(101010)₂,差がA−B(1100)₂であるとき,Bの値として,正しいものを次の(1)~(5)のうちから一つ選べ。
- (1110)₂
- (1111)₂
- (10011)₂
- (10101)₂
- (11110)₂
- 解答
問15
並行運転しているA及びBの2台の三相同期発電機がある。それぞれの発電機の負荷分担が同じ7300kWであり,端子電圧が6600Vのとき,三相同期発電機Aの負荷電流Iᴀが 1000A,三相同期発電機Bの負荷電流Iʙが800Aであった。損失は無視できるものとして,次の(a)及び(b)の問に答えよ。
(a)三相同期発電機Aの力率の値[%]として,最も近いものを次の(1)~(5)のうちから一つ選べ。
- 48
- 64
- 67
- 77
- 80
- 解答
(b)2台の発電機の合計の負荷が調整の前後で変わらずに一定に保たれているものとして,この状態から三相同期発電機A及びBの励磁及び駆動機の出力を調整し,三相同期発電機Aの負荷電流は調整前と同じ1000Aとし,力率は100%とした。このときの三相同期発電機Bの力率の値[%]として,最も近いものを次の(1)~(5)のうちから一つ選べ。ただし,端子電圧は変わらないものとする。
- 22
- 50
- 71
- 87
- 100
- 解答
問16
図は直流昇圧チョッパ回路であり,スイッチングの周期を𝑇[s]とし,その中での動作を考える。ただし,直流電源 E の電圧を𝐸₀[V]とし,コンデンサCの容量は十分に大きく出力電圧𝐸₁[V]は一定とみなせるものとする。
半導体スイッチ S がオンの期間𝑇ᴏn[s]では, E-リアクトルL-S-Eの経路と C-負荷R-Cの経路の二つで電流が流れ,このときにLに蓄えられるエネルギーが増加する。Sがオフの期間 𝑇off[s]では, E-L-ダイオードD-(CとRの並列回路)-Eの経路で電流が流れ,Lに蓄えられたエネルギーが出力側に放出される。次の(a)及び(b)の問に答えよ。
(a)この動作において,Lの磁束を増加させる電圧時間積は(ア)であり,磁束を減少させる電圧時間積は(イ)である。定常状態では,増加する磁束と減少する磁束が等しいとおけるので,入力電圧と出力電圧の関係を求めることができる。
上記の記述中の空白箇所(ア)及び(イ)に当てはまる組合せとして,正しいものを次の(1)~(5)のうちから一つ選べ。
| ア | イ | |
|---|---|---|
| 1 | E₀・Tᴏɴ | (E₁-E₀)・Tᴏ𝚏𝚏 |
| 2 | E₀・Tᴏɴ | E₁・Tᴏ𝚏𝚏 |
| 3 | E₀・T | E₁・Tᴏ𝚏𝚏 |
| 4 | (E₀-E₁)・Tᴏɴ | (E₁-E₀)・Tᴏ𝚏𝚏 |
| 5 | (E₀-E₁)・Tᴏɴ | (E₁-E₀)・T |
- 解答
(b)入力電圧𝐸₀=100 V ,通流率𝛼=0.2のときに,出力電圧𝐸₁の値[V]として,最も近いものを次の(1)~(5)のうちから一つ選べ。
- 80
- 125
- 200
- 400
- 500
- 解答
問17
電気給湯器を用いて,貯湯タンクに入っている温度20℃,体積0.37m³の水を85℃に加熱したい。水の比熱容量は4.18×10³J/(kg⋅K),水の密度は1.00×10³kg/m³であり,いずれも水の温度に関係なく一定とする。次の(a)及び(b)の問に答えよ。
(a)貯湯タンク内の水の加熱に必要な熱エネルギーQの値[MJ]として,最も近いものを次の(1)~(5)のうちから一つ選べ。
- 51
- 101
- 152
- 202
- 253
- 解答
(b)電気給湯器としてCOP(成績係数)が4.0のヒートポンプユニットを用いた。この加熱に要した時間は6時間であった。ヒートポンプユニットの消費電力Pの値[kW]として,最も近いものを次の(1)~(5)のうちから一つ選べ。
ただし,ヒートポンプ式電気給湯器の貯湯タンク,ヒートポンプユニット,配管などの加熱に必要な熱エネルギーは無視し,それらからの熱損失もないものとする。また,ヒートポンプユニットの消費電力及びCOPは,いずれも加熱の開始から終了まで一定とする。
- 0.96
- 1.06
- 1.16
- 1.26
- 1.36
- 解答
問18
論理式
を積和形式で簡単化したものとして,正しいものを次の(1)~(5)のうちから一つ選べ。
- 解答
(b)論理式
を和積形式で簡略化したものを次の(1)~(5)のうちから一つ選べ。
- 解答
正誤表
| 1 | 2 | 3 | 4 | 5 | 6 | 7 |
|---|---|---|---|---|---|---|
| - | - | - | - | - | - | - |
| 8 | 9 | 10 | 11 | 12 | 13 | 14 |
|---|---|---|---|---|---|---|
| - | - | - | - | - | - | - |
| 15-a | 15-b | 16-a | 16-b |
|---|---|---|---|
| - | - | - | - |
| 17-a | 17-b | 18-a | 18-b |
|---|---|---|---|
| - | - | - | - |
合計得点