問1
次の文章は,直流他励電動機の制御に関する記述である。ただし,鉄心の磁気飽和と電機子反作用は無視でき,また,電機子抵抗による電圧降下は小さいものとする。
- 他励電動機は,(ア)と(イ)を独立した電源で制御できる。磁束は(ア)に比例する。
- 磁束一定の条件で(イ)を増減すれば,(イ)に比例するトルクを制御できる。
- 磁束一定の条件で(ウ)を増減すれば,(ウ)に比例する回転数を制御できる。
- (ウ)一定の条件で磁束を増減すれば,ほぼ磁束に反比例する回転数を制御できる。回転数の(エ)のために(ア)を弱める制御がある。
このように広い速度範囲で速度とトルクを制御できるので,直流他励電動機は圧延機の駆動などに広く使われてきた。
上記の記述中の空白箇所(ア)~(エ)に当てはまる組合せとして,正しいものを次の(1)~(5)のうちから一つ選べ。
| ア | イ | ウ | エ | |
|---|---|---|---|---|
| 1 | 界磁電流 | 電機子電流 | 電機子電圧 | 上昇 |
| 2 | 電機子電流 | 界磁電流 | 電機子電圧 | 上昇 |
| 3 | 電機子電圧 | 電機子電流 | 界磁電流 | 低下 |
| 4 | 界磁電流 | 電機子電圧 | 電機子電流 | 低下 |
| 5 | 電機子電圧 | 電機子電流 | 界磁電流 | 上昇 |
- 解答
問2
界磁に永久磁石を用いた小形直流発電機がある。回転軸が回らないよう固定し,電機子に3Vの電圧を加えると,定格電流と同じ1Aの電機子電流が流れた。次に,電機子回路を開放した状態で,回転子を定格回転数で駆動すると,電機子に 15Vの電圧が発生した。この小形直流発電機の定格運転時の効率の値[%]として,最も近いものを次の(1)~(5)のうちから一つ選べ。
ただし,ブラシの接触による電圧降下及び電機子反作用は無視できるものとし,損失は電機子巻線の銅損しか存在しないものとする。
- 70
- 75
- 80
- 85
- 90
- 解答
問3
三相かご形誘導電動機の等価回路定数の測定に関する記述として,誤っているものを次の(1)~(5)のうちから一つ選べ。
ただし,等価回路としては一次回路に換算した一相分の簡易等価回路(L形等価回路)を対象とする。
- 一次巻線の抵抗測定は静止状態において直流で行う。巻線抵抗値を換算するための基準巻線温度は絶縁材料の耐熱クラスによって定められており,75℃や115℃などの値が用いられる。
- 一次巻線の抵抗測定では,電動機の一次巻線の各端子間で測定した抵抗値の平均値から,基準巻線温度における一次巻線の抵抗値を決められた数式を用いて計算する。
- 無負荷試験では,電動機の一次巻線に定格周波数の定格一次電圧を印加して無負荷運転し,一次側において電圧[V],電流 [A]及び電力[W]を測定する。
- 拘束試験では,電動機の回転子を回転しないように拘束して,一次巻線に定格周波数の定格一次電圧を印加して通電し,一次側において電圧[V],電流[A]及び電力[W]を測定する。
- 励磁回路のサセプタンスは無負荷試験により,一次二次の合成漏れリアクタンスと二次抵抗は拘束試験により求められる。
- 解答
問4
次の文章は,回転界磁形三相同期発電機の無負荷誘導起電力に関する記述である。
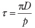
回転磁束を担う回転子磁極の周速をv[m/s],磁束密度の瞬時値をb[T],磁束と直交する導体の長さをl[m]とすると,1本の導体に生じる誘導起電力e[V]は次式で表される。
e=vbl
極数をp,固定子内側の直径をD[m]とすると,極ピッチτ[m]は
であるから,f[Hz]の起電力を生じる場合の周速vは v=2τfである。したがって,角周波数ω[rad/s]をω=2πfとして,上述の磁束密度瞬時値b[T]をb(t)=Bm sinωt と表した場合,導体1本あたりの誘導起電力の瞬時値e(t)は,
となる。
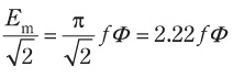
また,回転磁束の空間分布が正弦波でその最大値がBmのとき,1極の磁束密度の(イ)B[T]は,
であるから,1極の磁束Φ[Wb]は,
である。したがって,1本の導体に生じる起電力の実効値は次のように表すことができる。
よって,三相同期発電機の1相あたりの直列に接続された電機子巻線の巻数をNとすると,回転磁束の空間分布が正弦波の場合,1相あたりの誘導起電力(実効値)E[V]は,

となる。
さらに,電機子巻線には一般に短節巻と分布巻が採用されるので,これらを考慮した場合,1相あたりの誘導起電力Eは次のように表される。
ここでkᴡを(エ)という
上記の記述中の空白箇所(ア)~(エ)に当てはまる組合せとして,正しいものを次の(1)~(5)のうちから一つ選べ。
| ア | イ | ウ | エ | |
|---|---|---|---|---|
| 1 | 2τf | 平均値 | 2.22 | 巻線係数 |
| 2 | 2πf | 最大値 | 4.44 | 分布係数 |
| 3 | 2τf | 平均値 | 4.44 | 巻線係数 |
| 4 | 2πf | 最大値 | 2.22 | 短節係数 |
| 5 | 2τf | 実効値 | 2.22 | 巻線係数 |
- 解答
問5
図はある三相同期電動機の 1 相分の等価回路である。ただし,電機子巻線抵抗は無視している。相電圧
の大きさはV=200V,同期リアクタンスは Xs=8Ωである。この電動機を運転して力率が1になるように界磁電流を調整したところ,電機子電流
の大きさIが10Aになった。このときの誘導起電力Eの値[V]として,最も近いものを次の(1)~(5)のうちから一つ選べ。
- 120
- 140
- 183
- 215
- 280
- 解答
問6
次の文章は,交流整流子モータの特徴に関する記述である。
交流整流子モータは,直流直巻電動機に類似した構造となっている。直流直巻電動機では,加える直流電圧の極性を逆にしても,磁束と電機子電流の向きが共に(ア)ので,トルクの向きは変わらない。交流整流子モータは,この原理に基づき回転力を得ている。
交流整流子モータは,一般に始動トルクが(イ),回転速度が(ウ)なので,電気ドリル,電気掃除機,小型ミキサなどのモータとして用いられている。なお,小容量のものでは,交流と直流の両方に使用できるものもあり,(エ)と呼ばれる。
上記の記述中の空白箇所(ア)~(エ)に当てはまる組合せとして,正しいものを次の(1)~(5)のうちから一つ選べ。
| ア | イ | ウ | エ | |
|---|---|---|---|---|
| 1 | 逆になる | 大きく | 低速 | ユニバーサルモータ |
| 2 | 変わらない | 小さく | 低速 | ユニバーサルモータ |
| 3 | 変わらない | 大きく | 高速 | ブラスレスDCモータ |
| 4 | 逆になる | 小さく | 低速 | ブラスレスDCモータ |
| 5 | 逆になる | 大きく | 高速 | ユニバーサルモータ |
- 解答
問7
電動機と負荷の特性を,回転速度を横軸,トルクを縦軸に描く,トルク対速度曲線で考える。電動機と負荷の二つの曲線が,どのように交わるかを見ると,その回転数における運転が,安定か不安定かを判定することができる。誤っているものを次の(1)~(5)のうちから一つ選べ。
- 負荷トルクよりも電動機トルクが大きいと回転は加速し,反対に電動機トルクよりも負荷トルクが大きいと回転は減速する。回転速度一定の運転を続けるには,負荷と電動機のトルクが一致する安定な動作点が必要である。
- 巻線形誘導電動機では,回転速度の上昇とともにトルクが減少するように,二次抵抗を大きくし,大きな始動トルクを発生させることができる。この電動機に回転速度の上昇とともにトルクが増える負荷を接続すると,両曲線の交点が安定な動作点となる。
- 電源電圧を一定に保った直流分巻電動機は,回転速度の上昇とともにトルクが減少する。一方,送風機のトルクは,回転速度の上昇とともにトルクが増大する。したがって,直流分巻電動機は,安定に送風機を駆動することができる。
- かご形誘導電動機は,回転トルクが小さい時点から回転速度を上昇させるとともにトルクが増大,最大トルクを超えるとトルクが減少する。この電動機に回転速度でトルクが変化しない定トルク負荷を接続すると,電動機と負荷のトルク曲線が 2 点で交わる場合がある。この場合,加速時と減速時によって安定な動作点が変わる。
- かご形誘導電動機は,最大トルクの速度より高速な領域では回転速度の上昇とともにトルクが減少する。一方,送風機のトルクは,回転速度の上昇とともにトルクが増大する。したがって,かご形誘導電動機は,安定に送風機を駆動することができる。
- 解答
問8
変圧器の構造に関する記述として,誤っているものを次の(1)~(5)のうちから一つ選べ。
- 変圧器の巻線には軟銅線が用いられる。巻線の方法としては,鉄心に絶縁を施し,その上に巻線を直接巻きつける方法,円筒巻線や板状巻線としてこれを鉄心にはめ込む方法などがある。
- 変圧器の鉄心には,飽和磁束密度と比透磁率が大きい電磁鋼板が用いられる。この鋼板は,渦電流損を低減するためケイ素が数%含有され,さらにヒステリシス損を低減するために表面が絶縁被膜で覆われている。
- 変圧器の冷却方式には用いる冷媒によって,絶縁油を使用する油入式と空気を使用する乾式,さらにガス冷却式などがある。
- 変圧器油は,変圧器本体を浸し,巻線の絶縁耐力を高めるとともに,冷却によって本体の温度上昇を防ぐために用いられる。また,化学的に安定で,引火点が高く,流動性に富み比熱が大きくて冷却効果が大きいなどの性質を備えることが必要となる。
- 大型の油入変圧器では,負荷変動に伴い油の温度が変動し,油が膨張・収縮を繰り返すため,外気が変圧器内部に出入りを繰り返す。これを変圧器の呼吸作用といい,油の劣化の原因となる。この劣化を防止するため,本体の外にコンサベータやブリーザを設ける。
- 解答
問9
一次線間電圧が66kV,二次線間電圧が6.6kV,三次線間電圧が3.3kVの三相三巻線変圧器がある。一次巻線には線間電圧66kVの三相交流電源が接続されている。二次巻線に力率0.8・8,000kV⋅Aの三相誘導性負荷を接続し,三次巻線に4,800kV⋅Aの三相コンデンサを接続した。一次電流の値[A]として,最も近いものを次の(1)~(5)のうちから一つ選べ。
ただし,変圧器の漏れインピーダンス,励磁電流及び損失は無視できるほど小さいものとする。
- 42.0
- 56.0
- 70.0
- 700.0
- 840.0
- 解答
問10
パワー半導体スイッチングデバイスとしては近年,主にIGBTとパワーMOSFETが用いられている。両者を比較した記述として,誤っているものを次の(1)~(5)のうちから一つ選べ。
- IGBTは電圧駆動形であり,ゲート・エミッタ間の電圧によってオン・オフを制御する。
- パワーMOSFETは電流駆動形であり,キャリア蓄積効果があることからスイッチング損失が大きい。
- パワーMOSFETはユニポーラデバイスであり,バイポーラ形のデバイスと比べてオン状態の抵抗が高い
- IGBTはバイポーラトランジスタにパワーMOSFETの特徴を組み合わせることにより,スイッチング特性を改善している。
- パワーMOSFETではシリコンのかわりにSiCを用いることで,高耐圧化をしつつオン状態の抵抗を低くすることが可能になる。
- 解答
問11
慣性モーメント50kg⋅m²のはずみ車が,回転数1,500min⁻¹で回転している。このはずみ車に負荷が加わり,2秒間で1,000min⁻¹で回転している。このはずみ車に負荷が加わり,まで減速した。この間にはずみ車が放出した平均出力の値[kW]として,最も近いものを次の(1)~(5)のうちから一つ選べ。ただし,軸受の摩擦や空気の抵抗は無視できるものとする。
- 34
- 137
- 171
- 308
- 343
- 解答
問12
教室の平均照度を500lx以上にしたい。ただし,その時の光源一つの光束は2,400lm,この教室の床面積は15m×10mであり,照明率は60%,保守率は70%とする。必要最小限の光源数として,最も近いものを次の(1)~(5)のうちから一つ選べ。
- 30
- 40
- 75
- 115
- 150
- 解答
問13
熱の伝導は電気の伝導によく似ている。下記は,電気系の量と熱系の量の対応表である。
上記の記述中の空白箇所(ア)~(エ)に当てはまる組合せとして,正しいものを次の(1)~(5)のうちから一つ選べ。
| ア | イ | ウ | エ | |
|---|---|---|---|---|
| 1 | 熱流Φ | 温度差θ | [J/K] | [K/W] |
| 2 | 温度差θ | 熱流Φ | [K/W] | [J/K] |
| 3 | 温度差θ | 熱流Φ | [K/J] | [J/K] |
| 4 | 熱流Φ | 温度差θ | [J/K] | [J/W] |
| 5 | 温度差θ | 熱流Φ | [K/W] | [J/W] |
- 解答
問14
入力信号A,B及びC,出力信号Xの論理回路の真理値表が次のように示されたとき,Xの論理式として,正しいものを次の(1)~(5)のうちから一つ選べ。
- 解答
問15
定格出力45kW,定格周波数60Hz,極数4,定格運転時の滑りが0.02である三相誘導電動機について,次の(a)及び(b)の問に答えよ。
(a)この誘導電動機の定格運転時の二次入力(同期ワット)の値[kW]として,最も近いものを次の(1)~(5)のうちから一つ選べ。
- 43
- 44
- 45
- 46
- 47
- 解答
(b)この誘導電動機を,電源周波数50Hzにおいて,60Hz運転時の定格出力トルクと同じ出力トルクで連続して運転する。この50Hzでの運転において,滑りが50Hzを基準として0.05であるときの誘導電動機の出力の値[kW]として,最も近いものを次の(1)~(5)のうちから一つ選べ。
- 36
- 38
- 45
- 54
- 56
- 解答
問16
図1は,直流電圧源から単相インバータで誘導性負荷に交流を給電する基本回路を示す。負荷電流io(t)と直流側電流i𝚍(t)は図示する矢印の向きを正の方向として,次の(a)及び(b)の問に答えよ。
(a)各パワートランジスタが出力交流電圧の1周期Tに1回オンオフする運転を行っている際のある時刻t₀から1周期の波形を図2に示す。直流電圧がE[V]のとき,交流側の方形波出力電圧の実効値として,最も近いものを次の(1)~(5)のうちから一つ選べ。
- 0.5E
- 0.61E
- 0.86E
- E
- 1.15E
- 解答
(b)小問(a)のとき,負荷電流 io(t) の波形が図3の(ア)~(ウ),直流側電流 i𝚍(t)の波形が図3の(エ),(オ)のいずれかに示されている。それらの波形の適切な組合せを次の(1)~(5)のうちから一つ選べ。
- (ア)と(エ)
- (イ)と(エ)
- (ウ)と(オ)
- (ア)と(オ)
- (イ)と(オ)
- 解答
問17
図は,ある周波数伝達関数W(jω)のボード線図の一部であり,折れ線近似でゲイン特性を示している。次の(a)及び(b)の問に答えよ。
(a)図のゲイン特性を示す周波数伝達関数として,最も適切なものを次の(1)~(5)のうちから一つ選べ。
- 解答
(b)図のゲイン特性を示すブロック線図として,最も適切なものを次の(1)~(5)のうちから一つ選べ。ただし,入力を R(jω),出力をC(jω)として,図のゲイン特性を示しているものとする。
- 解答
問18
図は n 個の配列の数値を大きい順(降順)に並べ替えるプログラムのフローチャートである。次の(a)及び(b)の問に答えよ。
(a)図中の(ア)~(ウ)に当てはまる処理の組合せとして,正しいものを次の(1)~(5)のうちから一つ選べ。
| ア | イ | ウ | |
|---|---|---|---|
| 1 | a[ i ]>a[ j ] | a[ j ]←a[ i ] | a[ i ]←m |
| 2 | a[ i ]>a[ j ] | a[ i ]←a[ j ] | a[ j ]←m |
| 3 | a[ i ]<a[ j ] | a[ j ]←a[ i ] | a[ i ]←m |
| 4 | a[ i ]<a[ j ] | a[ j ]←a[ i ] | a[ j ]←m |
| 5 | a[ i ]<a[ j ] | a[ i ]←a[ j ] | a[ j ]←m |
- 解答
(b)このプログラム実行時の読込み処理において, n=5とし,a[1]=3,a[2]=1,a[3]=2,a[4]=5,a[5]=4とする。フローチャート中のXで示される部分の処理は何回行われるか。正しいものを次の(1)~(5))のうちから一つ選べ。
- 3
- 5
- 7
- 8
- 10
- 解答
正誤表
| 1 | 2 | 3 | 4 | 5 | 6 | 7 |
|---|---|---|---|---|---|---|
| - | - | - | - | - | - | - |
| 8 | 9 | 10 | 11 | 12 | 13 | 14 |
|---|---|---|---|---|---|---|
| - | - | - | - | - | - | - |
| 15-a | 15-b | 16-a | 16-b |
|---|---|---|---|
| - | - | - | - |
| 17-a | 17-b | 18-a | 18-b |
|---|---|---|---|
| - | - | - | - |
合計得点