問1
水力発電に関する記述として,誤っているものを次の(1)~(5)のうちから一つ選べ。
- 水管を流れる水の物理的性質を示す式として知られるベルヌーイの定理は,エネルギー保存の法則に基づく定理である。
- 水力発電所には,一般的に短時間で起動・停止ができる,耐用年数が長い,エネルギー変換効率が高いなどの特徴がある。
- 水力発電は昭和30年代前半まで我が国の発電の主力であったが,現在ではエネルギーの安定供給と経済性及び地球環境への貢献の観点から多様な発電方式が運用されており,我が国における水力発電の近年の発電電力量の比率は20%程度である。
- 河川の1日の流量を,年間を通して流量の多いものから順番に配列して描いた流況曲線は,発電電力量の計画において重要な情報となる。
- 総落差から損失水頭を差し引いたものを一般に有効落差という。有効落差に相当する位置エネルギーが水車に動力として供給される。
- 解答
問2
次の文章は,水車に関する記述である。
水圧管の先端がノズルになっていると,有効落差は全て(ア)エネルギーとなり,水は噴流となって噴出し,ランナのバケットにあたってランナを回転させる。このような水の力で回転する水車を(イ)水車という。
代表的なものとして(ウ)水車があり,(エ)で,流量の比較的少ない場所に用いられ,比速度は(オ)。
上記の記述中の空白箇所(ア)~(オ)に当てはまる組合せとして,正しいものを次の(1)~(5)のうちから一つ選べ。
| ア | イ | ウ | エ | オ | |
|---|---|---|---|---|---|
| 1 | 運動 | 衝動 | ペルトン | 高落差 | 大きい |
| 2 | 圧力 | 反動 | フランシス | 低落差 | 大きい |
| 3 | 位置 | 反動 | カプラン | 高落差 | 大きい |
| 4 | 圧力 | 衝動 | フランシス | 低落差 | 小さい |
| 5 | 運動 | 衝動 | ペルトン | 高落差 | 小さい |
- 解答
問3
ガスタービン発電と汽力発電を組み合わせたコンバインドサイクル発電方式を,同一出力の汽力発電方式と比較した記述として,誤っているものを次の(1)~(5)のうちから一つ選べ。
- 熱効率が高い。
- 起動・停止時間が短い。
- 蒸気タービンの出力分担が小さいので,復水器の冷却水量が少ない。
- 最大出力が外気温度の影響を受けやすい。
- 大型所内補機が多いので,所内率が大きい。
- 解答
問4
次の文章は,原子炉の型と特性に関する記述である。
軽水炉は,(ア)を原子燃料とし,冷却材と(イ)に軽水を用いた原子炉であり,我が国の商用原子力発電所に広く用いられている。この軽水炉には,蒸気を原子炉の中で直接発生する(ウ)原子炉と蒸気発生器を介して蒸気を作る(エ)原子炉とがある。
軽水炉では,何らかの原因により原子炉の核分裂反応による熱出力が増加して,炉内温度が上昇した場合でも,燃料の温度上昇にともなってウラン238による中性子の吸収が増加する(オ)により,出力が抑制される。このような働きを原子炉の固有の安全性という。
上記の記述中の空白箇所(ア)~(オ)に当てはまる組合せとして,正しいものを次の(1)~(5)のうちから一つ選べ。
| ア | イ | ウ | エ | オ | |
|---|---|---|---|---|---|
| 1 | 低濃縮ウラン | 減速材 | 沸騰水型 | 加圧水型 | ドップラー効果 |
| 2 | 高濃縮ウラン | 減速材 | 沸騰水型 | 加圧水型 | ボイド効果 |
| 3 | プルトニウム | 加速材 | 加圧水型 | 沸騰水型 | ボイド効果 |
| 4 | 低濃縮ウラン | 減速材 | 加圧水型 | 沸騰水型 | ボイド効果 |
| 5 | 高濃縮ウラン | 加速材 | 沸騰水型 | 加圧水型 | ドップラー効果 |
- 解答
問5
各種発電に関する記述として,誤っているものを次の(1)~(5)のうちから一つ選べ。
- 太陽光発電は,太陽電池によって直流の電力を発生させる。需要地点で発電が可能,発生電力の変動が大きい,などの特徴がある。
- 地熱発電は,地下から取り出した蒸気又は熱水の気化で発生させた蒸気によってタービンを回転させる発電方式である。発電に適した地熱資源を見つけるために,適地調査に多額の費用と長い期間がかかる。
- バイオマス発電は,植物などの有機物から得られる燃料を利用した発電方式である。さとうきびから得られるエタノールや,家畜の糞から得られるメタンガスなどが燃料として用いられている。
- 風力発電は,風のエネルギーによって風車で発電機を駆動し発電を行う。プロペラ型風車は羽根の角度により回転速度の制御が可能である。設定値を超える強風時には羽根の面を風向きに平行になるように制御し,ブレーキ装置によって風車を停止させる。
- 燃料電池発電は,水素と酸素との化学反応を利用して直流の電力を発生させる。発電に伴って発生する熱を給湯などに利用できるが,発電時の振動や騒音が大きい。
- 解答
問6
定格値が一次電圧66kV,二次電圧6.6kV,容量30MV⋅Aの三相変圧器がある。一次側に換算した漏れリアクタンスの値が14.5Ωのとき,百分率リアクタンスの値[%]として,最も近いものを次の(1)~(5)のうちから一つ選べ。
- 3.3
- 5.8
- 10.0
- 17.2
- 30.0
- 解答
問7
次の文章は,変圧器の結線方式に関する記述である。
変圧器の一次側,二次側の結線にY結線及びΔ結線を用いる方式は,結線の組合せにより四つのパターンがある。このうち,(ア)結線はひずみ波の原因となる励磁電流の第3高調波が環流し,吸収される効果が得られるが,一方で中性点の接地が必要となる場合は適さない。(イ)結線は一次側,二次側とも中性点接地が可能という特徴を有する。(ウ)結線及び(エ)結線は第3高調波の環流回路があり,一次側若しくは二次側の中性点接地が可能である。(ウ)結線は昇圧用に,(エ)結線は降圧用に用いられることが多い。
特別高圧系統では変圧器中性点を各種の方法で接地することから,(イ)結線の変圧器が用いられるが,第 3 高調波の環流の効果を得る狙いから(オ)結線を用いた三次巻線を採用していることが多い。
上記の記述中の空白箇所(ア)~(オ)に当てはまる組合せとして,正しいものを次の(1)~(5)のうちから一つ選べ。ただし,(ア)~(エ)の左側は一次側,右側は二次側の結線を表す。
| ア | イ | ウ | エ | オ | |
|---|---|---|---|---|---|
| 1 | Y-Y | Δ-Δ | Y-Δ | Δ-Y | Δ |
| 2 | Δ-Δ | Y-Y | Δ-Y | Y-Δ | Δ |
| 3 | Δ-Δ | Y-Y | Y-Δ | Δ-Y | Δ |
| 4 | Y-Δ | Δ-Y | Δ-Δ | Y-Y | Y |
| 5 | Δ-Δ | Y-Y | Δ-Y | Y-Δ | Y |
- 解答
問8
架空送電線路の構成要素に関する記述として,誤っているものを次の(1)~(5)のうちから一つ選べ。
- アークホーン:がいしの両端に設けられた金属電極をいい,雷サージによるフラッシオーバの際生じるアークを電極間に生じさせ,がいし破損を防止するものである。
- トーショナルダンパ:着雪防止が目的で電線に取り付ける。風による振動エネルギーで着雪を防止し,ギャロッピングによる電線間の短絡事故などを防止するものである。
- アーマロッド:電線の振動疲労防止やアークスポットによる電線溶断防止のため,クランプ付近の電線に同一材質の金属を巻き付けるものである。
- 相間スペーサ:相間スペーサ: 強風などによる電線相互の接近及び衝突を防止するため,電線相互の間隔を保持する器具として取り付けるものである。
- 埋設地線:塔脚の地下に放射状に埋設された接地線,あるいは,いくつかの鉄塔を地下で連結する接地線をいい,鉄塔の塔脚接地抵抗を小さくし,逆フラッシオーバを抑止する目的等のため取り付けるものである。
- 解答
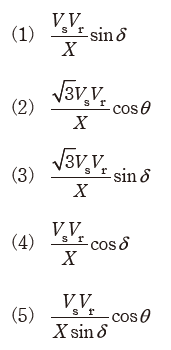
問9
交流三相3線式1回線の送電線路があり,受電端に遅れ力率角θ[rad]の負荷が接続されている。送電端の線間電圧をVs[V],受電端の線間電圧をVr[V],その間の相差角はδ[rad]である。
受電端の負荷に供給されている三相有効電力[W]を表す式として,正しいものを次の(1)~(5)のうちから一つ選べ。
ただし,送電端と受電端の間における電線1線当たりの誘導性リアクタンスはX[Ω]とし,線路の抵抗,静電容量は無視するものとする。
- 解答
問10
地中送配電線の主な布設方式である直接埋設式,管路式及び暗きょ式について,各方式の特徴に関する記述として,誤っているものを次の(1)~(5)のうちから一つ選べ。
- 直接埋設式は,他の方式と比較して工事費が少なく,工事期間が短い。
- 管路式は,直接埋設式と比較してケーブル外傷事故の危険性が少なく,ケーブルの増設や撤去に便利である。
- 管路式は,他の方式と比較して熱放散が良く,ケーブル条数が増加しても送電容量の制限を受けにくい。
- 暗きょ式は,他の方式と比較して工事費が多大であり,工事期間が長い。
- 暗きょ式は,他の方式と比較してケーブルの保守点検作業が容易であり,多条数の布設に適している。
- 解答
問11
次の文章は,電力の需要と供給に関する記述である。
電力の需要は1日の間で大きく変動し,一般に日中に需要が最大となる。一方で,(ア)の大量導入に伴って,日中の発電量が需要を上回る事例も報告されている。需要電力の平準化や,電力の需給バランスの確保のために,(イ)発電が用いられている。また近年では,(ウ)電池などの電力貯蔵装置の技術が向上している。
天候の急変時や発電所の故障発生時にも周波数を標準周波数へと回復させるために,(エ)が確保されている。部分負荷運転中の水力発電機や(オ)発電機などが(エ)の対象となる。
上記の記述中の空白箇所(ア)~(オ)に当てはまる組合せとして,正しいものを次の(1)~(5)のうちから一つ選べ。
| ア | イ | ウ | エ | オ | |
|---|---|---|---|---|---|
| 1 | ベース供給力 | 流込み式 | 燃料 | 運転予備力 | 原子力 |
| 2 | ベース供給力 | 揚水式 | 蓄 | 運転予備力 | 原子力 |
| 3 | ベース供給力 | 流込み式 | 燃料 | ミドル供給力 | 火力 |
| 4 | 太陽光発電 | 揚水式 | 燃料 | ミドル供給力 | 火力 |
| 5 | 太陽光発電 | 揚水式 | 蓄 | 運転予備力 | 火力 |
- 解答
問12
次の文章は,配電線路の電圧調整に関する記述である。
配電線路より電力供給している需要家への供給電圧を適正範囲に維持するため,配電用変電所では,(ア)などによって,負荷変動に応じて変電所二次側母線電圧を調整している。高圧配電線路においては,柱上変圧器の(イ)によって低圧配電線路の電圧調整を行っていることが多い。また,高圧配電線路のこう長が長い場合や分散型電源が多く接続されている場合など,電圧変動が大きく,配電用変電所の(ア)や柱上変圧器の(イ)によっても供給電圧を許容範囲に抑えることが難しい場合は,(ウ)や,開閉器付電力用コンデンサなどを高圧配電線路に施設することがある。さらに,電線の(エ)によって電圧降下を軽減する対策をとることもある。
上記の記述中の空白箇所(ア)~(エ)に当てはまる組合せとして,正しいものを次の(1)~(5)のうちから一つ選べ。
| ア | イ | ウ | エ | |
|---|---|---|---|---|
| 1 | 負荷時電圧調整器 | タップ調整 | バランサ | 細線化 |
| 2 | 計器用変成器 | 取替 | ステップ式自動電圧調整器 | 細線化 |
| 3 | 負荷時電圧調整器 | タップ調整 | ステップ式自動電圧調整器 | 太線化 |
| 4 | 計器用変成器 | タップ調整 | ステップ式自動電圧調整器 | 細線化 |
| 5 | 負荷時電圧調整器 | 取替 | バランサ | 太線化 |
- 解答
問13
低圧ネットワーク方式(レギュラーネットワーク方式ともいう)では,給電線である複数の特別高圧配電線路から,ネットワーク変圧器を経て,低圧配電線路に電力が供給される。低圧ネットワーク方式に関する記述として,誤っているものを次の(1)~(5)のうちから一つ選べ。
- 一般的に,ネットワーク変圧器二次側に,保護装置としてネットワークプロテクタが設置されており,ネットワーク変圧器一次側の遮断器やヒューズを省略することができる。
- 低圧配電線路を格子状に接続したネットワークから,各需要家に供給する。
- 給電線のうちの一つに事故が発生すると,他の健全な給電線に供給系統を切り替える間,低圧配電線路が停電する。
- 樹枝状配電線路と比較して電圧変動や電力損失を小さくすることができる。
- 建設費が高くなるので,大都市のような需要家の多い地域で用いられる。
- 解答
問14
次の文章は,絶縁油の性質に関する記述である。
絶縁油は変圧器やOFケーブルなどに使用されており,一般に絶縁破壊電圧は同じ圧力の空気と比べて高く,誘電正接が(ア)絶縁油を用いることで絶縁油中の(イ)を抑えることができる。電力用機器の絶縁油として古くから(ウ)が一般的に用いられてきたが,より優れた低損失性や信頼性が求められる場合には(エ)が採用されている。
上記の記述中の空白箇所(ア)~(エ)に当てはまる組合せとして,正しいものを次の(1)~(5)のうちから一つ選べ。
| ア | イ | ウ | エ | |
|---|---|---|---|---|
| 1 | 大きい | 部分放電 | 植物油 | 鉱油 |
| 2 | 小さい | 発熱 | 鉱油 | 合成油 |
| 3 | 大きい | 発熱 | 植物油 | 鉱油 |
| 4 | 小さい | 部分放電 | 鉱油 | 合成油 |
| 5 | 小さい | 発熱 | 植物油 | 合成油 |
- 解答
問15
復水器での冷却に海水を使用する汽力発電所が出力600MWで運転しており,復水器冷却水量が24m3/s ,冷却水の温度上昇が7℃であるとき,次の(a)及び(b)の問に答えよ。
ただし,海水の比熱を4.02kJ/(kg⋅K),密度を1.02×103kg/m3,発電機効率を98%とする
(a) 復水器で海水へ放出される熱量の値kJ/s]として,最も近いものを次の(1)~(5)のうちから一つ選べ
- 4.25×104
- 1.71×105
- 6.62×105
- 6.89×105
- 8.61×105
- 解答
(b) タービン室効率の値[%]として,最も近いものを次の(1)~(5)のうちから一つ選べ。
ただし,条件を示していない損失は無視できるものとする。
- 41.5
- 46.5
- 47.0
- 47.5
- 48.0
- 解答
問16
電線1線の抵抗が6Ω,誘導性リアクタンスが4Ωである三相3線式送電線について,次の(a)及び(b)の問に答えよ。
(a) 受電端電圧を60kV ,送電線での電圧降下率を受電端電圧基準で 10%に保つものとする。この受電端に,力率80%(遅れ)の負荷を接続する。この場合,受電可能な三相皮相電力の値[MV⋅A]として,最も近いものを次の(1)~(5)のうちから一つ選べ。
- 28.9
- 42.9
- 50.0
- 60.5
- 86.6
- 解答
(b) 受電端に接続する負荷の条件を,遅れ力率60% ,三相皮相電力65MV⋅Aに変更することになった。この場合でも,受電端電圧を60kV,送電線での電圧降下率を受電端電圧基準で10%に保ちたい。受電端に設置された調相設備から系統に供給すべき無効電力の値[Mvar]として,最も近いものを次の(1)~(5)のうちから一つ選べ。
- 12.0
- 20.5
- 27.0
- 31.5
- 47.1
- 解答
問17
図のように配電用変圧器二次側の単相3線式低圧配電線路に負荷A及び負荷Bが接続されている場合について,次の(a)及び(b)の問に答えよ。
ただし,変圧器は,励磁電流,内部電圧降下及び内部損失などを無視できる理想変圧器で,一次電圧は6600V,二次電圧は110/220Vで一定であるものとする。
また,低圧配電線路及び中性線の電線 1 線当たりの抵抗は0.06Ω,負荷A及び負荷Bは純抵抗負荷とし,これら以外のインピーダンスは考慮しないものとする。
(a) 変圧器の電流を測定したところ,一次電流が5A,二次電流IaとIbの比が2:3 あった。二次側低圧配電線路及び中性線における損失の合計値[kW]として,最も近いものを次の(1)~(5)のうちから一つ選べ。
- 2.59
- 2.81
- 3.02
- 5.83
- 8.21
- 解答
(b) 低圧配電線路の中性線が点Fで断線した場合に負荷Aにかかる電圧の値[V]として,最も近いものを次の(1)~(5)のうちから一つ選べ。
- 88
- 106
- 123
- 127
- 138
- 解答
正誤表
| 1 | 2 | 3 | 4 | 5 | 6 | 7 |
|---|---|---|---|---|---|---|
| - | - | - | - | - | - | - |
| 8 | 9 | 10 | 11 | 12 | 13 | 14 |
|---|---|---|---|---|---|---|
| - | - | - | - | - | - | - |
| 15-a | 15-b | 16-a | 16-b | 17-a | 17-b |
|---|---|---|---|---|---|
| - | - | - | - | - | - |
合計得点