出典:令和2年度第3種電気主任技術者試験
電力 問1
ダム水路式発電所における水撃作用とサージタンクに関する記述として,誤っているものを次の(1)~(5)のうちから一つ選べ。
- 発電機の負荷を急激に遮断又は急激に増やした場合は,それに応動して水車の使用水量が急激に変化し,流速が減少又は増加するため,水圧管内の圧力の急上昇又は急降下が起こる。このような圧力の変動を水撃作用という。
- 水撃作用は,水圧管の長さが長いほど,水車案内羽根あるいは入口弁の閉鎖時間が短いほど,いずれも大きくなる。
- 水撃作用の発生による影響を緩和する目的で設置される水圧調整用水槽をサージタンクという。サージタンクにはその構造・動作によって,差動式,小孔式,水室式などがあり,いずれも密閉構造である。
- 圧力水路と水圧管との接続箇所に,サージタンクを設けることにより,水槽内部の水位の昇降によって,水撃作用を軽減することができる。
- 差動式サージタンクは,負荷遮断時の圧力増加エネルギーをライザ(上昇管)内の水面上昇によってすばやく吸収し,そのあとで小穴を通してタンク内の水位をゆっくり通常のタンク内水位に戻す作用がある。
- 解答
出典:令和元年度第3種電気主任技術者試験
電力 問1
我が国の水力発電所(又は揚水発電所)に用いられる水車(又はポンプ水車)及び発電機(又は発電電動機)に関する記述として,誤っているものを次の(1)~(5)のうちから一つ選べ。
- ガイドベーン(案内羽根)は,その開度によってランナに流入する水の流量を変え,水車の出力を調整することができる水車部品である。
- 同一出力のフランシス水車を比較すると,一般に落差が高い地点に適用する水車の方が低い地点に適用するものより比速度が小さく,ランナの形状が扁平になる。
- 揚水発電所には,別置式,タンデム式,ポンプ水車式がある。発電機と電動機を共用し,同一軸に水車とポンプをそれぞれ直結した方式がポンプ水車式であり,水車の性能,ポンプの性能をそれぞれ最適に設計できるため,国内で設計される揚水発電所はほとんどこの方式である。
- 水車発電機には突極形で回転界磁形の三相同期発電機が主に用いられている。落差を有効に利用するために,水車を発電機の下方に直結した立軸形にすることも多い。
- 調速機は水車の回転速度を一定に保持する機能を有する装置である。また,自動電圧調整器は出力電圧の大きさを一定に保持する機能を有する装置である。
- 解答
出典:平成30年度第3種電気主任技術者試験
電力 問2
次の文章は,水車の比速度に関する記述である。
比速度とは,任意の水車の形(幾何学的形状)と運転状態(水車内の流れの状態)とを(ア)変えたとき,(イ)で単位出力(1kW)を発生させる仮想水車の回転速度のことである。
水車では,ランナの形や特性を表すものとしてこの比速度が用いられ,水車の(ウ)ごとに適切な比速度の範囲が存在する。
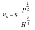
水車の回転速度をn[min⁻¹],有効落差をH[m],ランナ1個当たり又はノズル1個当たりの出力をP[kW]とすれば,この水車の比速度nsは,次の式で表される。
通常,ペルトン水車の比速度は,フランシス水車の比速度より(エ)。
比速度の大きな水車を大きな落差で使用し,吸出し管を用いると,放水速度が大きくなって,(オ)やすくなる。そのため,各水車には,その比速度に適した有効落差が決められている。
上記の記述中の空白箇所(ア),(イ),(ウ),(エ)及び(オ)に当てはまる組合せとして,正しいものを次の(1)~(5)のうちから一つ選べ。
| (ア) | (イ) | (ウ) | (エ) | (オ) | |
|---|---|---|---|---|---|
| 1 | 一定に保って有効落差を | 単位流量(1m³/s) | 出力 | 大きい | 高い効率を得 |
| 2 | 一定に保って有効落差を | 単位落差(1m) | 種類 | 大きい | キャビテーションが生じ |
| 3 | 相似に保って大きさを | 単位流量(1m³/s) | 出力 | 大きい | 高い効率を得 |
| 4 | 相似に保って大きさを | 単位落差(1m) | 種類 | 小さい | キャビテーションが生じ |
| 5 | 相似に保って大きさを | 単位流量(1m³/s) | 出力 | 小さい | 高い効率を得 |
- 解答
出典:平成29年度第3種電気主任技術者試験
電力 問1
水力発電所に用いられるダムの種別と特徴に関する記述として,誤っているものを次の(1)~(5)のうちから一つ選べ。
- 重力ダムとは,コンクリートの重力によって水圧などの外力に耐えられるようにしたダムであって,体積が大きくなるが構造が簡単で安定性が良い。我が国では,最も多く用いられている。
- アーチダムとは,水圧などの外力を両岸の岩盤で支えるようにアーチ型にしたダムであって,両岸の幅が狭く,岩盤が丈夫なところに作られ,コンクリートの量を節減できる。
- ロックフィルダムとは,岩石を積み上げて作るダムであって,内側には,砂利,アスファルト,粘土などが用いられている。ダムは大きくなるが,資材の運搬が困難で建設地付近に岩石や砂利が多い場所に適している。
- アースダムとは,土壌を主材料としたダムであって,灌漑(かんがい)用の池などを作るのに適している。基礎の地質が,岩などで強固な場合のみ採用される。
- 取水ダムとは,水路式発電所の水路に水を導入するため河川に設けられるダムであって,ダムの高さは低く,越流形コンクリートダムなどが用いられている。
出典:令和2年度第3種電気主任技術者試験
電力 問2
次の文章は,汽力発電所の復水器の機能に関する記述である。
汽力発電所の復水器は蒸気タービン内で仕事を取り出した後の(ア)蒸気を冷却して凝縮させる装置である。復水器内部の真空度を(イ)保持してタービンの(ア)圧力を(ウ)させることにより,(エ)の向上を図ることができる。なお,復水器によるエネルギー損失は熱サイクルの中で最も(オ)。
上記の記述中の空白箇所(ア)~(オ)に当てはまる組合せとして,正しいものを次の(1)~(5)のうちから一つ選べ。
| ア | イ | ウ | エ | オ | |
|---|---|---|---|---|---|
| 1 | 抽気 | 低く | 上昇 | 熱効率 | 大きい |
| 2 | 排気 | 高く | 上昇 | 利用率 | 小さい |
| 3 | 排気 | 高く | 低下 | 熱効率 | 大きい |
| 4 | 抽気 | 高く | 低下 | 熱効率 | 小さい |
| 5 | 排気 | 低く | 停止 | 利用率 | 大きい |
- 解答
出典:令和元年度第3種電気主任技術者試験
電力 問5
ガスタービンと蒸気タービンを組み合わせたコンバインドサイクル発電に関する記述として,誤っているものを次の(1)~(5)のうちから一つ選べ。
- 燃焼用空気は,空気圧縮機,燃焼器,ガスタービン,排熱回収ボイラ,蒸気タービンを経て,排ガスとして煙突から排出される。
- ガスタービンを用いない同容量の汽力発電に比べて,起動停止時間が短く,負荷追従性が高い。
- ガスタービンを用いない同容量の汽力発電に比べて,復水器の冷却水量が少ない。
- ガスタービン入口温度が高いほど熱効率が高い。
- 部分負荷に対応するための,単位ユニットの運転台数の増減が可能なため,部分負荷時の熱効率の低下が小さい。
- 解答
出典:平成30年度第3種電気主任技術者試験
電力 問3
汽力発電所の蒸気タービン設備に関する記述として,誤っているものを次の(1)~(5)のうちから一つ選べ。
- 衝動タービンは,蒸気が回転羽根(動翼)に衝突するときに生じる力によって回転させるタービンである。
- 調速装置は,蒸気加減弁駆動装置に信号を送り,蒸気流量を調整することで,タービンの回転速度制御を行う装置である。
- ターニング装置は,タービン停止中に高温のロータが曲がることを防止するため,ロータを低速で回転させる装置である。
- 反動タービンは,固定羽根(静翼)で蒸気を膨張させ,回転羽根(動翼)に衝突する力と回転羽根(動翼)から排気するときの力を利用して回転させるタービンである。
- 非常調速装置は,タービンの回転速度が運転中に定格回転速度以下となり,一定値以下まで下降すると作動して,タービンを停止させる装置である。
- 解答
結果