問1
次の文章は,「電気事業法施行規則」に基づく自家用電気工作物を設置する者が保安規程に定めるべき事項の一部に関しての記述である。
a) 自家用電気工作物の工事,維持又は運用に関する業務を管理する者の(ア)に関すること。
b) 自家用電気工作物の工事,維持又は運用に従事する者に対する(イ)に関すること。
c) 自家用電気工作物の工事,維持及び運用に関する保安のための(ウ)及び検査に関すること。
d) 自家用電気工作物の運転又は操作に関すること。
e) 発電所又は蓄電所の運転を相当期間停止する場合における保全の方法に関すること。
f) 災害その他非常の場合に採るべき(エ)に関すること。
g) 自家用電気工作物の工事,維持及び運用に関する保安についての(オ)に関すること。
上記の記述中の空白箇所(ア)~(オ)に当てはまる組合せとして、正しいものを次の(1)~(5)のうちから一つ選べ。
| (ア) | (イ) | (ウ) | (エ) | (オ) | |
|---|---|---|---|---|---|
| 1 | 権限及び義務 | 勤務体制 | 巡視、点検 | 指揮命令 | 記録 |
| 2 | 職務及び組織 | 勤務体制 | 整備、補修 | 措置 | 届出 |
| 3 | 権限及び義務 | 保安教育 | 整備、補修 | 指揮命令 | 届出 |
| 4 | 職務及び組織 | 保安教育 | 巡視、点検 | 措置 | 記録 |
| 5 | 権限及び義務 | 勤務体制 | 整備、補修 | 指揮命令 | 記録 |
- 解答
問2
次の文章は,「電気工事業の業務の適正化に関する法律」に規定されている電気工事業者に関する記述である。
この法律において,「電気工事業」とは,電気工事士法に規定する電気工事を行う事業をいい,「 (ア)電気工事業者」とは,経済産業大臣又は(イ)の(ア)を受けて電気工事業を営む者をいう。また,「通知電気工事業者」とは,経済産業大臣又は(イ)に電気工事業の開始の通知を行って,(ウ)に規定する自家用電気工作物のみに係る電気工事業を営む者をいう。
上記の記述中の空白箇所(ア)~(ウ)に当てはまる組合せとして,正しいものを次の(1)~(5)のうちから一つ選べ。
| ア | イ | ウ | |
|---|---|---|---|
| 1 | 承認 | 都道府県知事 | 電気工事士法 |
| 2 | 許可 | 産業保安監督部長 | 電気事業法 |
| 3 | 登録 | 都道府県知事 | 電気工事士法 |
| 4 | 承認 | 産業保安監督部長 | 電気事業法 |
| 5 | 登録 | 産業保安監督部長 | 電気工事士法 |
- 解答
問3
次の文章は,「電気設備技術基準」に関する記述である。
電路は,大地から(ア)しなければならない。ただし,構造上やむを得ない場合であって通常予見される使用形態を考慮し危険のおそれがない場合,又は(イ)による高電圧の侵入等の異常が発生した際の危険を回避するための(ウ)その他の保安上必要な措置を講ずる場合は,この限りでない。
上記の記述中の空白箇所(ア)~(ウ)に当てはまる組合せとして,正しいものを次の(1)~(5)のうちから一つ選べ。
| ア | イ | ウ | |
|---|---|---|---|
| 1 | 離隔 | 事故 | 遮断 |
| 2 | 離隔 | 短絡 | 遮断 |
| 3 | 絶縁 | 短絡 | 離隔 |
| 4 | 絶縁 | 混触 | 接地 |
| 5 | 遮断 | 混触 | 接地 |
- 解答
問4
「電気設備技術基準の解釈」に基づく,高圧の機械器具(これに附属する高圧電線であってケーブル以外のものを含む。以下同じ。)の施設について,発電所,蓄電所又は変電所,開閉所若しくはこれらに準ずる場所以外の場所において,高圧の機械器具を施設することができる場合として,誤っているものを次の(1)~(5)のうちから一つ選べ。
- 人が触れるおそれがないように,機械器具の周囲に適当なさく,へい等を設け,当該さく,へい等との高さと,当該さく,へい等から機械器具の充電部分までの距離との和を5m以上とし,かつ,危険である旨の表示をする場合
- 工場等の構内において,機械器具の周囲に高圧用機械器具である旨の表示をする場合
- 屋内であって,取扱者以外の者が出入りできないように措置した場所に施設する場合
- 機械器具をコンクリート製の箱又はD種接地工事を施した金属製の箱に収め,かつ,充電部分が露出しないように施設する場合
- 充電部分が露出しない機械器具を人が接近又は接触しないよう,さく,へい等を設けて施設する場合
- 解答
問5
次の文章は,「電気設備技術基準」における(地中電線等による他の電線及び工作物への危険の防止)及び(地中電線路の保護)に関する記述である。
a)地中電線,屋側電線及びトンネル内電線その他の工作物に固定して施設する電線は,他の電線,弱電流電線等又は管(以下,「他の電線等」という。)と(ア)し,又は交さする場合には,故障時の(イ)により他の電線等を損傷するおそれがないように施設しなければならない。ただし,感電又は火災のおそれがない場合であって,(ウ)場合は,この限りでない。
b)地中電線路は,車両その他の重量物による圧力に耐え,かつ,当該地中電線路を埋設している旨の表示等により掘削工事からの影響を受けないように施設しなければならない。
c)地中電線路のうちその内部で作業が可能なものには,(エ)を講じなければならない。
上記の記述中の空白箇所(ア)~(エ)に当てはまる組合せとして,正しいものを次の(1)~(5)のうちから一つ選べ。
| ア | イ | ウ | エ | |
|---|---|---|---|---|
| 1 | 接触 | 短絡電流 | 取扱者以外の者が容易に触れることがない | 防火措置 |
| 2 | 接近 | アーク放電 | 他の電線等の管理者の承諾を得た | 防火措置 |
| 3 | 接近 | アーク放電 | 他の電線等の管理者の承諾を得た | 感電防止措置 |
| 4 | 接触 | 短絡電流 | 他の電線等の管理者の承諾を得た | 防火措置 |
| 5 | 接近 | 短絡電流 | 取扱者以外の者が容易に触れることがない | 感電防止措置 |
- 解答
問6
架空電線路の支持物に,取扱者が昇降に使用する足場金具等を地表上 1.8 m 未満に施設することができる場合として,「電気設備技術基準の解釈」に基づき,不適切なものを次の(1)~(5)のうちから一つ選べ。
- 監視装置を施設する場合
- 足場金具等が内部に格納できる構造である場合
- 支持物に昇塔防止のための装置を施設する場合
- 支持物の周囲に取扱者以外の者が立ち入らないように,さく,へい等を施設する場合
- 支持物を山地等であって人が容易に立ち入るおそれがない場所に施設する場合
- 解答
問7
「電気設備技術基準の解釈」に基づく分散型電源の系統連系設備に係る用語の定義に関する記述として,正しいものを次の(1)~(5)のうちから一つ選べ。
- 単独運転とは,分散型電源を連系している電力系統が事故等によって系統電源と切り離された状態において,当該分散型電源が発電を継続し,線路負荷に無効電力を供給している状態をいう。
- 自立運転とは,分散型電源が,連系している電力系統から解列された状態において,当該分散型電源設置者の構内負荷にのみ電力を供給している状態をいう。
- 逆充電とは,分散型電源設置者の構内から,一般送配電事業者が運用する電力系統側へ向かう有効電力の流れをいう。
- 受動的方式の単独運転検出装置とは,分散型電源の有効電力出力又は無効電力出力等に平時から変動を与えておき,単独運転移行時に当該変動に起因して生じる周波数等の変化により,単独運転状態を検出する装置をいう。
- 能動的方式の単独運転検出装置とは,単独運転移行時に生じる電圧位相又は周波数等の変化により,単独運転状態を検出する装置をいう。
- 解答
問8
次の文章は,「電気設備技術基準」における電気さくの施設の禁止に関する記述である。
電気さく(屋外において裸電線を固定して施設したさくであって,その裸電線に充電して使用するものをいう。)は,施設してはならない。ただし,田畑,牧場,その他これに類する場所において野獣の侵入又は家畜の脱出を防止するために施設する場合であって,絶縁性がないことを考慮し,(ア)のおそれがないように施設するときは,この限りでない。
次の文章は,「電気設備技術基準の解釈」における電気さくの施設に関する記述である。
電気さくは,次のa)からf)に適合するものを除き施設しないこと。
a)田畑,牧場,その他これに類する場所において野獣の侵入又は家畜の脱出を防止するために施設するものであること。
b)電気さくを施設した場所には,人が見やすいように適当な間隔で(イ)である旨の表示をすること。
c)電気さくは,次のいずれかに適合する電気さく用電源装置から電気の供給を受けるものであること。
- 電気用品安全法の適用を受ける電気さく用電源装置
- 感電により人に危険を及ぼすおそれのないように出力電流が制限される電気さく用電源装置であって,次のいずれかから電気の供給を受けるもの
・電気用品安全法の適用を受ける直流電源装置
・蓄電池,太陽電池その他これらに類する直流の電源
d)電気さく用電源装置(直流電源装置を介して電気の供給を受けるものにあっては,直流電源装置)が使用電圧(ウ)V以上の電源から電気の供給を受けるものである場合において,人が容易に立ち入る場所に電気さくを施設するときは,当該電気さくに電気を供給する電路には次に適合する漏電遮断器を施設すること。
- 電流動作型のものであること
- 定格感度電流が(エ)mA以下,動作時間が 0.1秒以下のものであること。
e)電気さくに電気を供給する電路には,容易に開閉できる箇所に専用の開閉器を施設すること。
f)電気さく用電源装置のうち,衝撃電流を繰り返して発生するものは,その装置及びこれに接続する電路において発生する電波又は高周波電流が無線設備の機能に継続的かつ重大な障害を与えるおそれがある場所には,施設しないこと。
上記の記述中の空白箇所(ア)~(エ)に当てはまる組合せとして,正しいものを次の(1)~(5)のうちから一つ選べ。
| ア | イ | ウ | エ | |
|---|---|---|---|---|
| 1 | 感電又は火災 | 危険 | 100 | 15 |
| 2 | 感電又は火災 | 電気さく | 30 | 10 |
| 3 | 損壊 | 電気さく | 100 | 15 |
| 4 | 感電又は火災 | 危険 | 30 | 15 |
| 5 | 損壊 | 電気さく | 100 | 10 |
- 解答
問9
次の文章は,「電気設備技術基準の解釈」に基づく,ライティングダクト工事による低圧屋内配線の施設に関する記述として,正しいものを次の(1)~(5)のうちから一つ選べ。
- ダクトの支持点間の距離を2m以下で施設した。
- 造営材を貫通してダクト相互を接続したため,貫通部の造営材には接触させず,ダクト相互及び電線相互は堅ろうに,かつ,電気的に完全に接続した。
- ダクトの開口部を上に向けたため,人が容易に触れるおそれのないようにし,ダクトの内部に塵埃(じんあい)が進入し難いように施設した。
- 5mのダクトを人が容易に触れるおそれがある場所に施設したため,ダクトにはD種接地工事を施し,電路に地絡を生じたときに自動的に電路を遮断する装置は施設しなかった。
- ダクトを固定せず使用するため,ダクトは電気用品安全法に適合した附属品でキャブタイヤケーブルに接続して,終端部は堅ろうに閉そくした。
- 解答
問10
次の文章は,計器用変成器の変流器に関する記述である。その記述内容として誤っているものを次の(1)~(5)のうちから一つ選べ。
- 変流器は,一次電流から生じる磁束によって二次電流を発生させる計器用変成器である。
- 変流器は,二次側に開閉器やヒューズを設置してはいけない。
- 変流器は,通電中に二次側が開放されると変流器に異常電圧が発生し,絶縁が破壊される危険性がある。
- 変流器は,一次電流が一定でも二次側の抵抗値により変流比は変化するので,電流計の選択には注意が必要になる。
- 変流器の通電中に,電流計をやむを得ず交換する場合は,二次側端子を短絡して交換し,その後に短絡を外す。
- 解答
問11
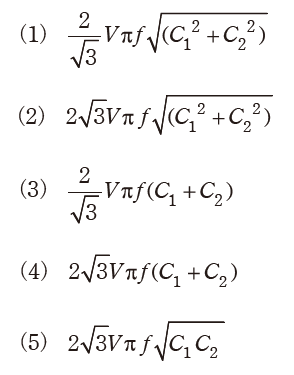
図は,線間電圧V[V],周波数f[Hz]の中性点非接地方式の三相3線式高圧配電線路及びある需要設備の高圧地絡保護システムを簡易に示した単線図である。高圧配電線路一相の全対地静電容量をC1[F],需要設備一相の全対地静電容量C2[F]とするとき,次の(a)及び(b)の問に答えよ。
ただし,図示されていない負荷,線路定数及び配電用変電所の制限抵抗は無視するものとする。
(a) 図の配電線路において,遮断器が「入」の状態で地絡事故点に一線完全地絡事故が発生し地絡電流Ig[A]が流れた。このときIgの大きさを表す式として,正しいものを次の(1)~(5)のうちから一つ選べ。
ただし,間欠アークによる影響等は無視するものとし,この地絡事故によって遮断器は遮断しないものとする。
- 解答
(b) 小問(a)の地絡電流 Igは高圧配電線路側と需要設備側に分流し,需要設備側に分流した電流は零相変流器を通過して検出される。上記のような需要設備構外の事故に対しても,零相変流器が検出する電流の大きさによっては地絡継電器が不必要に動作する場合があるので注意しなければならない。地絡電流Igが高圧配電線路側と需要設備側に分流する割合はC1とC2の比によって決まるものとしたとき,Igのうち需要設備の零相変流器で検出される電流の値[mA]として,最も近いものを次の(1)~(5)のうちから一つ選べ。
ただし,V=6600V,f=60Hz,C1=2.3μF,C2=0.02μFとする。
- 54
- 86
- 124
- 152
- 256
- 解答
問12
三相3線式の高圧電路に300kW,遅れ力率0.6の三相負荷が接続されている。この負荷と並列に進相コンデンサ設備を接続して力率改善を行うものとする。進相コンデンサ設備は図に示すように直列リアクトル付三相コンデンサとし,直列リアクトルSRのリアクタンスXL[Ω]は,三相コンデンサSCのリアクタンスXC[Ω]の6%とするとき,次の(a)及び(b)の問に答えよ。
ただし,高圧電路の線間電圧は6600Vとし,無効電力によって電圧は変動しないものとする。
(a) 進相コンデンサ設備を高圧電路に接続したときに三相コンデンサSCの端子電圧の値[V]として,最も近いものを次の(1)~(5)のうちから一つ選べ。
- 6410
- 6795
- 6807
- 6995
- 7021
- 解答
(b) 進相コンデンサを負荷と並列に接続し,力率を遅れ0.6から遅れ 0.8に改善した。このとき,この設備の三相コンデンサ SCの容量の値[kvar]として,最も近いものを次の(1)~(5)のうちから一つ選べ。
- 170
- 180
- 186
- 192
- 208
- 解答
問13
電気工作物に起因する供給支障事故について,次の(a)及び(b)の問に答えよ。
(a) 次の記述中の空白箇所(ア)~(エ)に当てはまる組合せとして,正しいものを次の(1)~(5)のうちから一つ選べ。
- 電気事業法第39条(事業用電気工作物の維持)において,事業用電気工作物の損壊により(ア)者又は配電事業者の電気の供給に著しい支障を及ぼさないようにすることが規定されている。
- 「電気関係報告規則」において,(イ)を設置する者は,(ア),配電事業又は特定送配電事業の用に供する電気工作物と電気的に接続されている電圧(ウ)V以上の(イ)の破損又は(イ)の誤操作若しくは(イ)を操作しないことにより(ア)者,配電事業者又は特定送配電事業者に供給支障を発生させた場合,電気工作物の設置の場所を管轄する産業保安監督部長に事故報告をしなければならないことが規定されている。
- 図1に示す高圧配電系統により高圧需要家が受電している。事故点1,事故点2又は事故点3のいずれかで短絡等により高圧配電系統に供給支障が発した場合,②の報告対象となるのは(エ)である。
| ア | イ | ウ | エ | |
|---|---|---|---|---|
| 1 | 一般送配電事業 | 自家用電気工作物 | 6000 | 事故点1又は事故点2 |
| 2 | 送電事業 | 事業用電気工作物 | 3000 | 事故点1又は事故点3 |
| 3 | 一般送配電事業 | 事業用電気工作物 | 6000 | 事故点2又は事故点3 |
| 4 | 送電事業 | 事業用電気工作物 | 6000 | 事故点1又は事故点2 |
| 5 | 一般送配電事業 | 自家用電気工作物 | 3000 | 事故点2又は事故点3 |
- 解答
(b) 次の記述中の空白箇所(ア)~(エ)に当てはまる組合せとして,正しいものを次の(1)~(5)のうちから一つ選べ。
- 受電設備を含む配電系統において,過負荷又は短絡あるいは地絡が生じたとき,供給支障の拡大を防ぐため,事故点直近上位の遮断器のみが動作し,他の遮断器は動作しないとき,これらの遮断器の間では(ア)がとられているという。
- 図2は,図1の高圧需要家の事故点2又は事故点3で短絡が発生した場合の過電流と遮断器(遮断器A及び遮断器B)の継電器動作時間の関係を示したものである。(ア)がとられている場合,遮断器Bの継電器動作特性曲線は,(イ)である。
- 図3は,図1の高圧需要家の事故点2で地絡が発生した場合の零相電流と遮断器(遮断器A及び遮断器B)の継電器動作時間の関係を示したものである。(ア)がとられている場合,遮断器Bの継電器動作特性曲線は,(ウ)である。また,地絡の発生箇所が零相変流器より負荷側か電源側かを判別するため(エ)の使用が推奨されている。
| ア | イ | ウ | エ | |
|---|---|---|---|---|
| 1 | 同期協調 | 曲線2 | 曲線3 | 地絡距離継電器 |
| 2 | 同期協調 | 曲線1 | 曲線3 | 地絡方向継電器 |
| 3 | 保護協調 | 曲線1 | 曲線4 | 地絡距離継電器 |
| 4 | 保護協調 | 曲線2 | 曲線4 | 地絡方向継電器 |
| 5 | 保護協調 | 曲線2 | 曲線3 | 地絡距離継電器 |
- 解答
合計得点